Masyarat di Minta Awasi, Dana Desa Rokan Hilir 2025 Sudah Cair Rp75 M

PEKANBARU - merahputihterkini.com - Berdasarkan data dari DJPK Kemenkeu RI, untuk Kabupaten Rokan Hilir Provinsi Riau, Dana Desa yang sudah dicairkan sampai Juni 2025 adalah sebesar Rp 75,99 Miliar dengan total 52 desa dari 159 desa di Rohil.
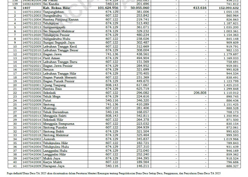
Ini berarti sudah 49.97 persen dari pagu dana desa 2025 untuk Kabupaten Rokan Hilir yang sebesar Rp. 152,09 miliar.
Semoga penggunaan dana desa di Kabupaten Rokan Hilir tepat guna dan tak dikorupsi. Kita tahu bahwa pengololaan dana desa rentan sekali dengan korupsi dan banyak kepala desa yang terjerat.
Menurut Sekjen DPP Satgasus KPK Tipikor, Dianto menghimbau untuk semua masyarakat Rohil agar mengawasi dan memantau pengunaan dana desa tersebut. jangan sampai dana desa di salah gunakan oleh perangkat desa yang tidak berpihak ke masyarakat.
"Pantau pengunaan dana desa ini, kita mengimbau kalau ada dana desa ini di salah gunakan oleh perangkat desa agar segera melapor ke penegak hukum,"ungkap Dianto.
Berikut daftar dana desa 2025 terbesar di Kabupaten Rokan Hilir Provinsi Riau dilansir dari Kemenkeu, yang mendapatkan lebih dari Rp 1 Miliar tahun 2025 inI, BERIKUT nama desa yang menerima :
NO NAMA DESA JUMLAH TOTAL DANA DESA
IV Kab. Rokan Hilir Rp152.093.632.000
1 Desa Panipahan Darat Rp2.000.286.000
2 Desa Balam Sempurna Rp1.813.692.000
3 Desa Bagan Batu Rp1.596.417.000
4 Desa Sungai Daun Rp1.564.739.000
5 Desa Pasir Limau Kapas Rp1.500.220.000
6 Desa Ujung Tanjung Rp1.425.210.000
7 Desa Telukpulai Rp1.415.596.000
8 Desa Raja Bejamu Rp1.400.827.000
9 Desa Teluknilap Rp1.352.428.000
10 Desa Menggala Sakti Rp1.350.954.000
11 Desa Teluk Bano I Rp1.324.924.000
12 Desa Rantau Bais Rp1.299.848.000
13 Desa Bangko Jaya Rp1.287.832.000
14 Desa Tanjung Medan Rp1.274.803.000
15 Desa Sei Bakau Rp1.236.436.000
16 Desa Siarang-arang Rp1.212.952.000
17 Desa Air Hitam Rp1.208.283.000
18 Desa Kasang Bangsawan Rp1.199.986.000
19 Desa Bakti Makmur Rp1.199.551.000
20 Desa Bangko Permata Rp1.187.743.000
21 Desa Telukpiyai Rp1.187.621.000
22 Desa Pematang Ibul Rp1.187.005.000
23 Desa Bangko Bakti Rp1.186.141.000
24 Desa Bagan Jawa Rp1.179.697.000
25 Desa Parit Aman Rp1.169.033.000
26 Desa Melayu Besar Rp1.158.955.000
27 Desa Telukpiyai Pesisir Rp1.154.363.000
28 Desa Sintong Rp1.151.425.000
29 Desa Bangko Lestari Rp1.143.562.000
30 Desa Bangko Pusako Rp1.142.906.000
31 Desa Labuhan Papan Rp1.139.007.000
32 Desa Kota Parit Rp1.124.285.000
33 Desa Bagan Punak PesisirRp1.123.799.000
34 Desa Balam Jaya Rp1.119.040.000
35 Desa Balai Jaya Rp1.114.852.000
36 Desa Sekeladi Rp1.110.012.000
37 Desa Bukit Selamat Rp1.104.059.000
38 Desa Bangko Sempurna Rp1.101.349.000
39 Desa Sungai Nyamuk Rp1.088.423.000
40 Desa Panipahan Rp1.085.095.000
41 Desa Sei Manasib Rp1.084.946.000
42 Desa Sungai Tapah Rp1.072.084.000
43 Desa Pasir Putih Rp1.067.131.000
44 Desa Tanjungleban Rp1.055.135.000
45 Desa Pedamaran Rp1.050.566.000
46 Desa Sungaisegajah Rp1.035.200.000
47 Desa Jumrah Rp1.019.966.000
48 Desa Pujud Rp1.019.056.000
49 Desa Pondok Kresek Rp1.013.702.000
50 Desa Bahtera Makmur Rp1.008.442.000
51 Desa Sungaipinang Rp1.003.830.000
52 Desa Sei Segajah Makmur Rp1.003.361.000
53 Jaya Agung - 759.006.000
54 Meranti Makmur- 797.955.000
55 Bhayangkara Jaya - 652.400.000
56 Panipahan - 1.085.095.000
57 Telukpulai - 1.415.596.000
58 Pasir Limau Kapas - 1.500.2.00020
59 Sungai Daun - 1.564.739.000.000
60 Panipahan Darat - 2.000.286.000
61 Panipahan Laut - 968.619.000
62 Pulaujemur - 749.660.000
63 Sinaboi - 895.545.000
64 Sei Bakau - 1.236.436.000
65 Raja Bejamu - 1.400.827.000
66 Sungai Nyamuk - 1.088.423.000.
67 Darussalam - 934.277.000
68 Teluk Nayang - 906.719.000
69 Pujud - 1.019.056.000
70 Air Hitam - 1.208.283.000
71 Kasang Bangsawan - 1.199.986.000
72 Sungaipinang - 887.544.000
73 Siarang-arang - 1.212.952.000
74 Suka Jadi - 959.729.000
75 Pujud Utara - 834.608.000
76 Babussalam Rokan - 799.962.000
77 Perkebunan Siarang-arang - 878.520.000
78 Melayu Besar - 1.158.955.000
79 Melayu Tengah - 699.107.000
80 Batu Hampar - 651.146.000
81 Mesah - 723.323.000
82 Labuhan Papan - 1.139.007.000
83 Bangko Jaya - 1.287.832.000
84 Bangko Sempurna - 1.101.349.000
85 Bangko Bakti - 1.186.141.000
86 Bangko Pusako - 1.142.906.000
87 Sei Manasib - 1.084.946.000
88 Teluk Bano I - 1.324.924.000
89 Bangko Makmur - 691.589.000
90 Pematang Damar - 902.736.000
91 Pematang Ibul - 1.187.005.000
92 Bangko Permata - 1.187.743.000
93 Bangko Mukti - 793.932.000
94 Bangko Lestari - 1.143.562.000
95 Bangko Balam - 892.281.000
96 Bangko Mas Raya - 846.699.000
97 Kota Parit - 1.124.285.000
98 Bagan Nibung - 992.162.000
99 Bukit Damar - 962.384.000
100 Bukit Mas - 589.872.000
101 Bukit Selamat - 1.104.059.000
102 Bantaian - 997.106.000
103 Sungaisialang - 847.668.000
104 Bantayan Baru - 803.724.000
105 Sungaisialang Hulu - 782.528.000
106 Sekapas - 738.713.000
107 Bagan Cempedak - 777.555.000
108 Pedamaran - 1.050.566.000
109 Rokan Baru - 771.057.000
110 Sei Besar - 916.797.000
111 Suak Temenggung - 811.314.000
112 Teluk Bano II - 749.342.000
113 Pekaitan - 946.422.000
114 Suak Air Hitam - 811.679.000
115 Kubu I - 739.934.000
116 Karyo Mulyo Sari - 718.769.000
117 Rokan Baru Pesisir - 692.279.000
118 Rantau Panjang Kiri - 918.392.000
119 Teluknilap - 1.352.428.000
120 Sungaimajo - 848.490.000
121 Sungaipinang - 1.003.830.000
122 Sungaipanji-panji - 856.203.000
123 Jojol - 747.434.000.
124 Pulauhalang Muka - 732.359.000
125 Pulauhalang Belakang - 654.285.000
126 Rantau Panjang Kiri Hilir - 799.614.000
127 Teluknilap Jaya - 748.586
128 Sungaimajo Pusako - 835.503.000
129 Pulauhalang Hulu - 689.537.000
130 Tanjung Medan - 1.274.803.000
131 Tanjung Medan Utara - 822.369.000
132 Tanjung Medan Barat - 855.750.000
133 Sei Meranti - 940.007.000
134 Sei Meranti Darussalam - 912.218.000
135 Akar Belingkar - 886.251.000
136 Tangga Batu - 817.701.000
137 Berkebunan Tanjung Medan - 794.745.000
138 Sri Kayangan - 833.571.000
139 Pondok Kresek - 1.013.702.000
140 Sungai Tapah - 1.072.084.000
141 Tanjung Sari- 927.519.000
142 Bagan Sinembah - 852.660.000
143 Harapan Makmur Selatan - 723.689.000
144 Harapan Makmur - 772.803.000
145 Makmur Jaya - 831.024.000
146 Salak - 685.772.000
147 Panca Mukti - 788.724.000
148 Bagansinembah Timur - 999.480.000
149 Bagansinembah Utara - 956.853.000
150 Bagansinembah Barat - 870.578.000
151 Balam Jaya - 1.119.040.000
152 Balai Jaya - 1.114.852.000
153 Balam Sempurna - 1.813.692.000
154 Bagan Bhakti - 777.099.000
155 Kencana - 757.770.000
156 Pasir Putih - 1.067.131.000
157 Pasir Putih Utara - 800.211.000
158 Pasir Putih Barat - 844.356.000
159 Lubuk Jawi - 783.726.000.(rd)
Tulis Komentar